前ページへ

松木講演会 九州鉄道 大蔵~城山峠


   
   
   
   
   
   
   
   
   
   
   
   
   
   

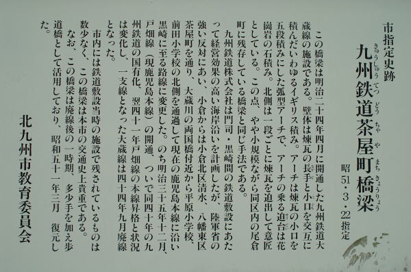
九州鉄道茶町橋梁
   
   
   
   
 
 



  


前ページへ